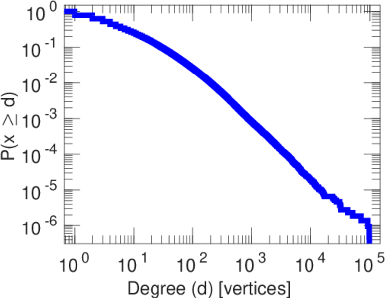
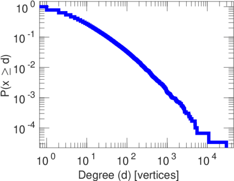
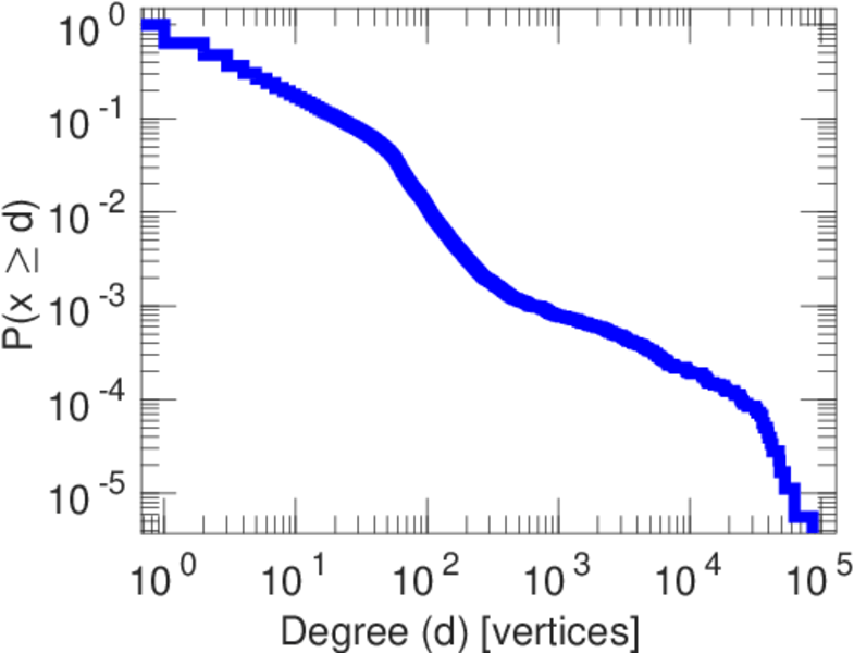
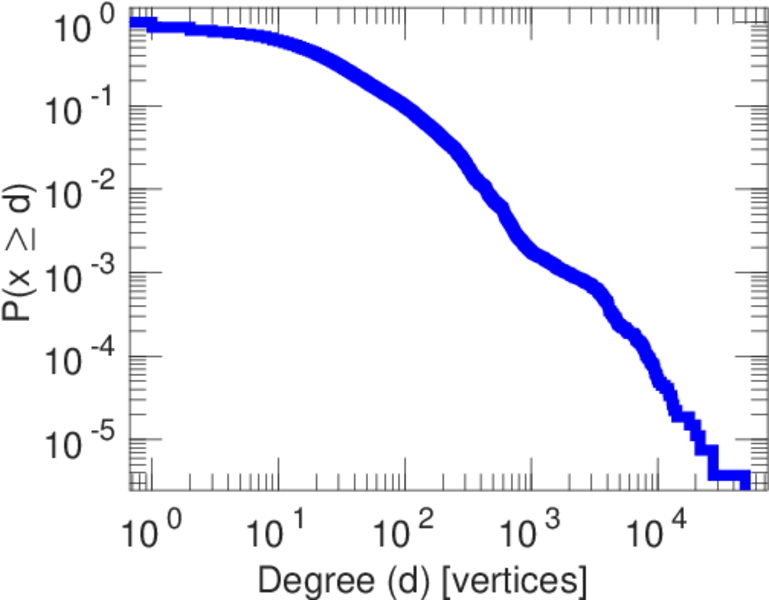
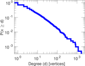
Cumulative degree distribution

This page shows the cumulative degree distribution for all networks to which it applies and for which it was computed.

This plot has several variants:

Overall cumulative degree distribution

Comparison of cumulative left-right/in-out degree distributions

Cumulative left/outdegree degree distribution

Cumulative right/indegree degree distribution