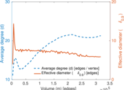
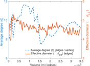
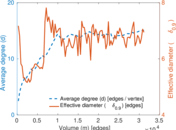
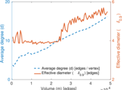
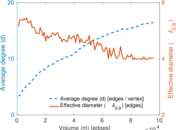
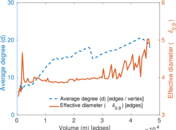
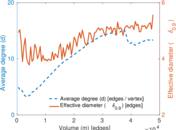
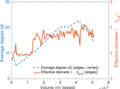
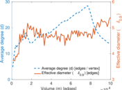
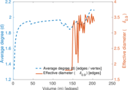
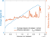
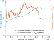
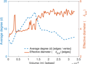
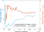
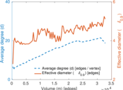
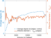
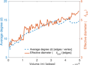
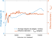
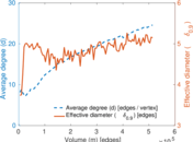
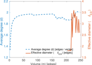
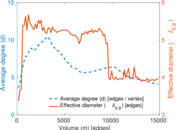
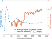
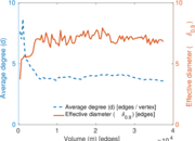
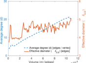
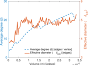
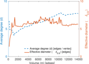
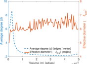
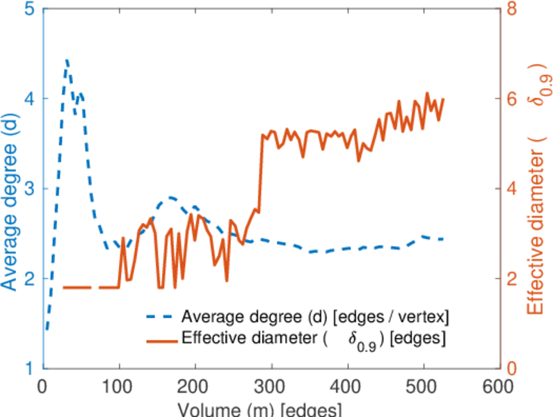
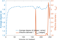
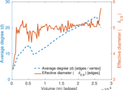
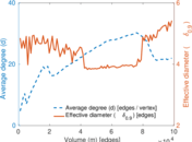
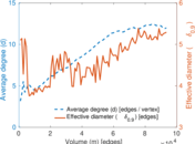
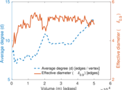
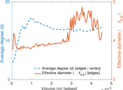
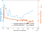
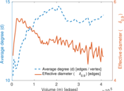
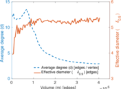
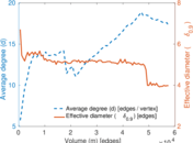
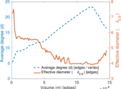
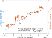
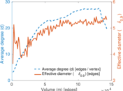
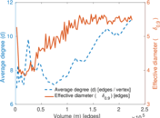
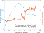
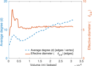
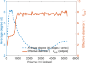
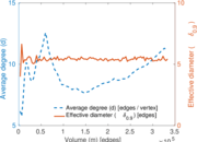
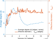
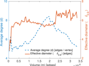
Diameter/density evolution

This page shows the diameter/density evolution for all networks to which it applies and for which it was computed.