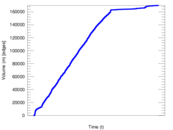
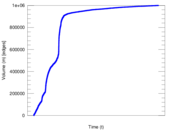
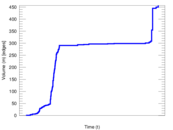
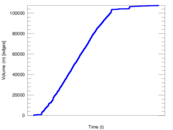
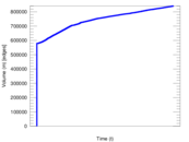
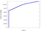
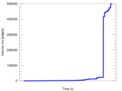
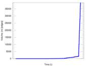
Temporal distribution

This page shows the temporal distribution for all networks to which it applies and for which it was computed.

This plot has several variants:

Temporal distribution

Cumulative temporal distribution