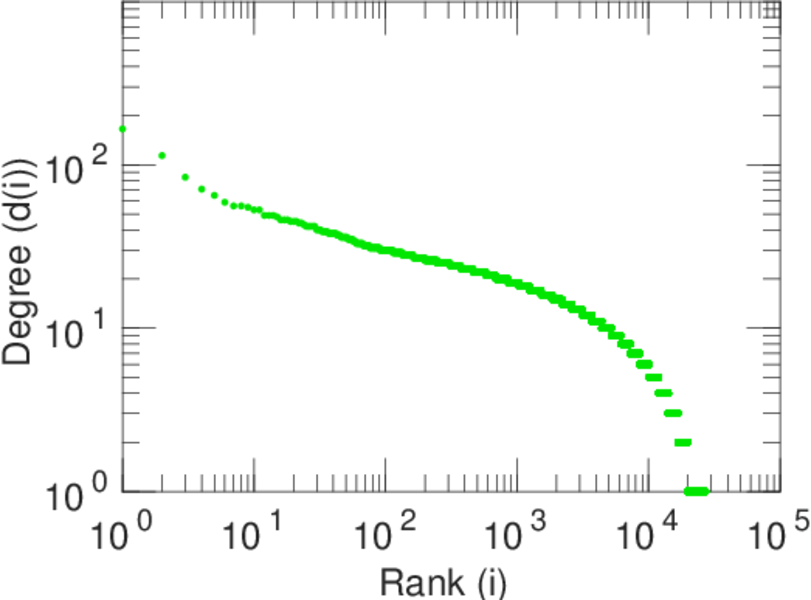
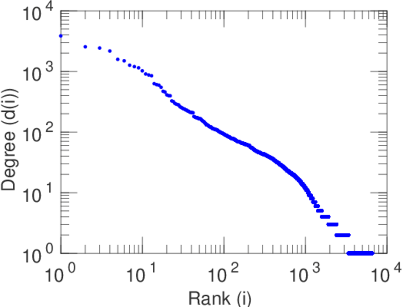
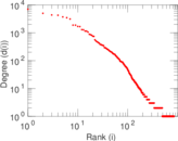
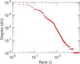
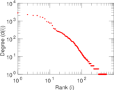
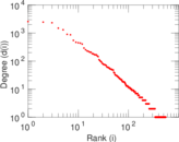
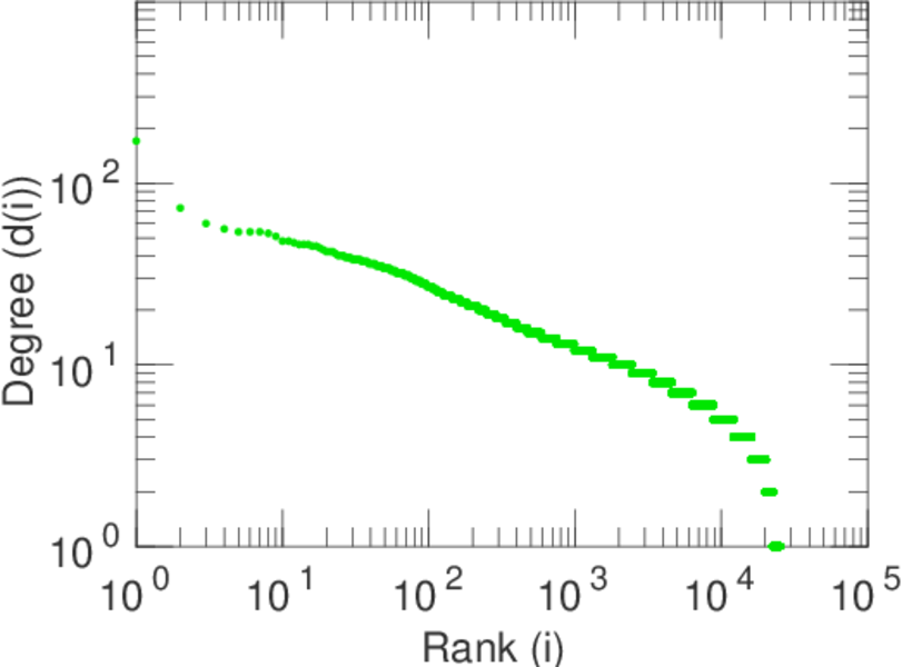
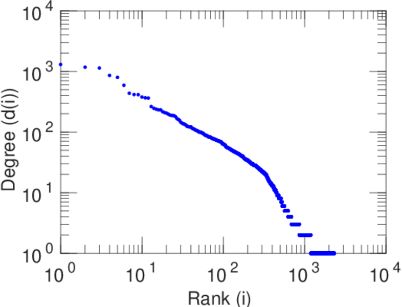
Zipf plot

This page shows the Zipf plot for all networks to which it applies and for which it was computed.

This plot has several variants:

Overall Zipf plot

Left/outdegree Zipf plot

Right/indegree Zipf plot