U. Rovira i Virgili

This is the email communication network at the University Rovira i Virgili in Tarragona in the south of Catalonia in Spain. Nodes are users and each edge represents that at least one email was sent. The direction of emails and the number of emails between two persons are not stored.

Metadata

CodeA@
Internal namearenas-email
NameU. Rovira i Virgili
Data sourcehttp://deim.urv.cat/~aarenas/data/welcome.htm
AvailabilityDataset is available for download
Consistency checkDataset passed all tests
Category
Communication network
Node meaningUser
Edge meaningCommunication
Network formatUnipartite, undirected
Edge typeUnweighted, no multiple edges
LoopsDoes not contain loops
Orientation Is not directed, but the underlying data is
Multiplicity Does not have multiple edges, but the underlying data has

Statistics

Size n =1,133
Volume m =5,451
Loop count l =0
Wedge count s =96,415
Claw count z =817,974
Cross count x =6,550,542
Triangle count t =5,343
Square count q =43,591
4-Tour count T4 =745,290
Maximum degree dmax =71
Average degree d =9.622 24
Fill p =0.008 500 21
Size of LCC N =1,133
Diameter δ =8
50-Percentile effective diameter δ0.5 =3.179 35
90-Percentile effective diameter δ0.9 =4.475 95
Median distance δM =4
Mean distance δm =3.654 76
Gini coefficient G =0.491 113
Balanced inequality ratio P =0.314 529
Relative edge distribution entropy Her =0.942 894
Power law exponent γ =1.561 09
Tail power law exponent γt =6.771 00
Tail power law exponent with p γ3 =6.771 00
p-value p =0.752 000
Degree assortativity ρ =+0.078 201 0
Degree assortativity p-value pρ =2.915 87 × 10−16
Clustering coefficient c =0.166 250
Spectral norm α =20.747 0
Algebraic connectivity a =0.332 560
Spectral separation 1[A] / λ2[A]| =1.223 03
Non-bipartivity bA =0.592 240
Normalized non-bipartivity bN =0.235 829
Algebraic non-bipartivity χ =0.334 159
Spectral bipartite frustration bK =0.008 681 95
Controllability C =60
Relative controllability Cr =0.052 956 8

Plots

Fruchterman–Reingold graph drawing

Degree distribution

Cumulative degree distribution

Lorenz curve

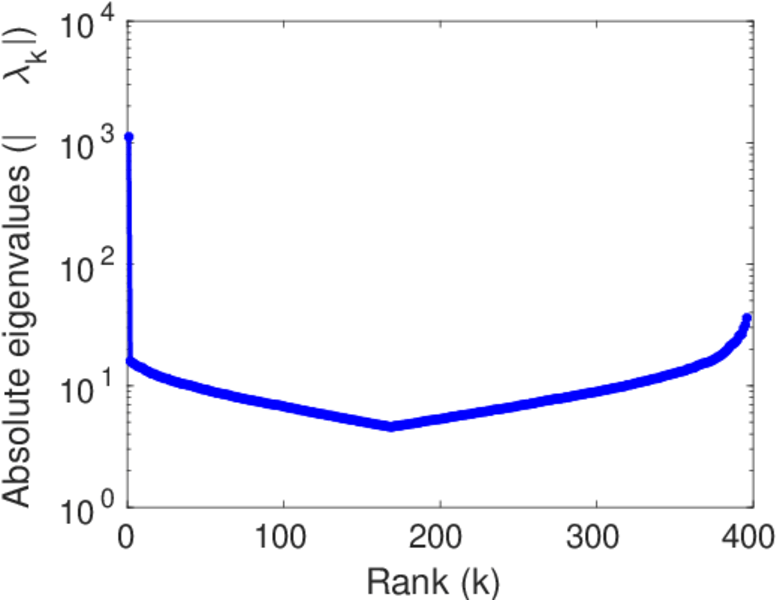
Spectral distribution of the adjacency matrix

Spectral distribution of the normalized adjacency matrix

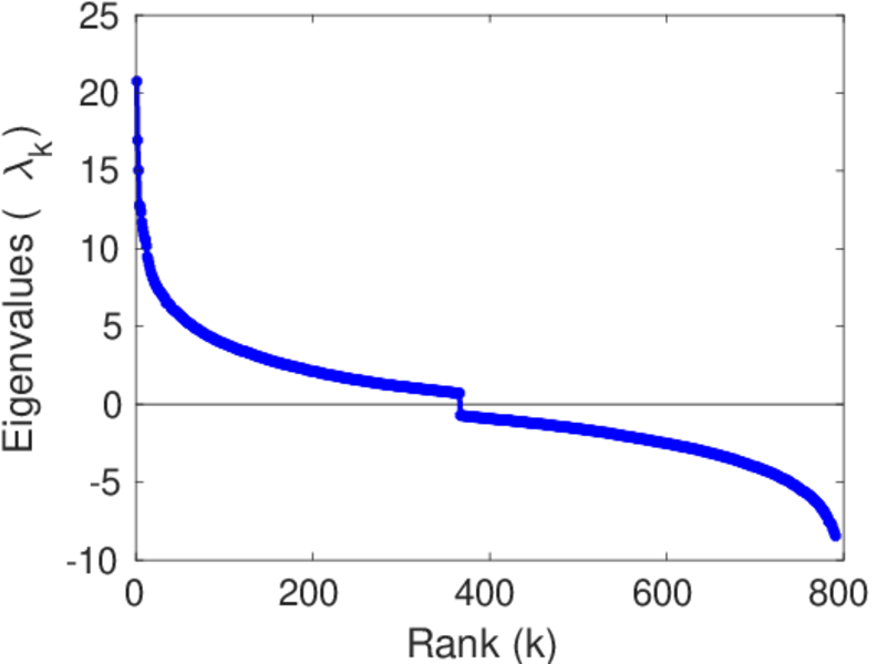
Spectral distribution of the Laplacian

Spectral graph drawing based on the adjacency matrix

Spectral graph drawing based on the Laplacian

Spectral graph drawing based on the normalized adjacency matrix

Degree assortativity

Zipf plot

Hop distribution

Double Laplacian graph drawing

Delaunay graph drawing

Clustering coefficient distribution

Average neighbor degree distribution

SynGraphy

Matrix decompositions plots

Downloads

References

[1] Jérôme Kunegis. KONECT – The Koblenz Network Collection. In Proc. Int. Conf. on World Wide Web Companion, pages 1343–1350, 2013. [ http ]
[2] Roger Guimerà, Leon Danon, Albert Díaz-Guilera, Francesc Giralt, and Alex Arenas. Self-similar community structure in a network of human interactions. Phys. Rev. E, 68(6):065103, 2003.