Wikiquote edits (eo)

This is the bipartite edit network of the Esperanto Wikiquote. It contains users and pages from the Esperanto Wikiquote, connected by edit events. Each edge represents an edit. The dataset includes the timestamp of each edit.

Metadata

Codeqeo
Internal nameedit-eowikiquote
NameWikiquote edits (eo)
Data sourcehttp://dumps.wikimedia.org/
AvailabilityDataset is available for download
Consistency checkDataset passed all tests
Category
Authorship network
Dataset timestamp 2017-10-20
Node meaningUser, article
Edge meaningEdit
Network formatBipartite, undirected
Edge typeUnweighted, multiple edges
Temporal data Edges are annotated with timestamps

Statistics

Size n =4,262
Left size n1 =396
Right size n2 =3,866
Volume m =19,798
Unique edge count m̿ =12,720
Wedge count s =4,078,418
Claw count z =1,464,139,033
Cross count x =473,041,982,176
Square count q =2,400,139
4-Tour count T4 =35,544,860
Maximum degree dmax =2,381
Maximum left degree d1max =2,381
Maximum right degree d2max =417
Average degree d =9.290 47
Average left degree d1 =49.994 9
Average right degree d2 =5.121 06
Fill p =0.008 308 64
Average edge multiplicity m̃ =1.556 45
Size of LCC N =3,939
Diameter δ =15
50-Percentile effective diameter δ0.5 =3.301 28
90-Percentile effective diameter δ0.9 =5.037 73
Median distance δM =4
Mean distance δm =3.640 31
Gini coefficient G =0.751 973
Balanced inequality ratio P =0.209 087
Left balanced inequality ratio P1 =0.092 080 0
Right balanced inequality ratio P2 =0.294 929
Relative edge distribution entropy Her =0.775 928
Power law exponent γ =2.138 84
Tail power law exponent γt =2.111 00
Tail power law exponent with p γ3 =2.111 00
p-value p =0.000 00
Left tail power law exponent with p γ3,1 =1.631 00
Left p-value p1 =0.005 000 00
Right tail power law exponent with p γ3,2 =6.571 00
Right p-value p2 =0.344 000
Degree assortativity ρ =−0.312 527
Degree assortativity p-value pρ =3.260 30 × 10−286
Spectral norm α =422.194
Algebraic connectivity a =0.012 328 7
Spectral separation 1[A] / λ2[A]| =3.248 65
Controllability C =3,479
Relative controllability Cr =0.821 488

Plots

Fruchterman–Reingold graph drawing

Degree distribution

Cumulative degree distribution

Lorenz curve

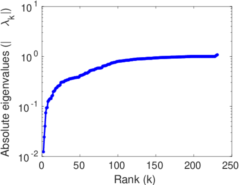
Spectral distribution of the adjacency matrix

Spectral distribution of the normalized adjacency matrix

Spectral distribution of the Laplacian

Spectral graph drawing based on the adjacency matrix

Spectral graph drawing based on the Laplacian

Spectral graph drawing based on the normalized adjacency matrix

Degree assortativity

Zipf plot

Hop distribution

Double Laplacian graph drawing

Delaunay graph drawing

Edge weight/multiplicity distribution

Temporal distribution

Temporal hop distribution

Diameter/density evolution

Matrix decompositions plots

Downloads

References

[1] Jérôme Kunegis. KONECT – The Koblenz Network Collection. In Proc. Int. Conf. on World Wide Web Companion, pages 1343–1350, 2013. [ http ]
[2] Wikimedia Foundation. Wikimedia downloads. http://dumps.wikimedia.org/, January 2010.