Wikinews edits (ro)

This is the bipartite edit network of the Romanian Wikinews. It contains users and pages from the Romanian Wikinews, connected by edit events. Each edge represents an edit. The dataset includes the timestamp of each edit.

Metadata

Codenro
Internal nameedit-rowikinews
NameWikinews edits (ro)
Data sourcehttp://dumps.wikimedia.org/
AvailabilityDataset is available for download
Consistency checkDataset passed all tests
Category
Authorship network
Dataset timestamp 2017-10-20
Node meaningUser, article
Edge meaningEdit
Network formatBipartite, undirected
Edge typeUnweighted, multiple edges
Temporal data Edges are annotated with timestamps

Statistics

Size n =7,741
Left size n1 =512
Right size n2 =7,229
Volume m =26,566
Unique edge count m̿ =14,996
Wedge count s =8,683,062
Claw count z =6,577,184,989
Cross count x =4,413,335,750,515
Square count q =1,609,872
4-Tour count T4 =47,658,540
Maximum degree dmax =3,968
Maximum left degree d1max =3,968
Maximum right degree d2max =2,128
Average degree d =6.863 71
Average left degree d1 =51.886 7
Average right degree d2 =3.674 92
Fill p =0.004 051 61
Average edge multiplicity m̃ =1.771 54
Size of LCC N =7,353
Diameter δ =11
50-Percentile effective diameter δ0.5 =3.377 17
90-Percentile effective diameter δ0.9 =5.366 99
Median distance δM =4
Mean distance δm =3.787 26
Gini coefficient G =0.756 561
Balanced inequality ratio P =0.210 758
Left balanced inequality ratio P1 =0.077 768 6
Right balanced inequality ratio P2 =0.303 734
Relative edge distribution entropy Her =0.757 481
Power law exponent γ =2.765 95
Tail power law exponent γt =3.251 00
Tail power law exponent with p γ3 =3.251 00
p-value p =0.000 00
Left tail power law exponent with p γ3,1 =1.701 00
Left p-value p1 =0.000 00
Right tail power law exponent with p γ3,2 =4.161 00
Right p-value p2 =0.762 000
Degree assortativity ρ =−0.180 065
Degree assortativity p-value pρ =1.742 05 × 10−109
Spectral norm α =2,121.01
Algebraic connectivity a =0.030 916 4
Spectral separation 1[A] / λ2[A]| =7.164 33
Controllability C =6,788
Relative controllability Cr =0.883 394

Plots

Fruchterman–Reingold graph drawing

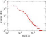
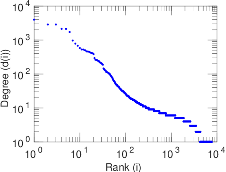
Degree distribution

Cumulative degree distribution

Lorenz curve

Spectral distribution of the adjacency matrix

Spectral distribution of the normalized adjacency matrix

Spectral distribution of the Laplacian

Spectral graph drawing based on the adjacency matrix

Spectral graph drawing based on the Laplacian

Spectral graph drawing based on the normalized adjacency matrix

Degree assortativity

Zipf plot

Hop distribution

Double Laplacian graph drawing

Delaunay graph drawing

Edge weight/multiplicity distribution

Temporal distribution

Temporal hop distribution

Diameter/density evolution

Matrix decompositions plots

Downloads

References

[1] Jérôme Kunegis. KONECT – The Koblenz Network Collection. In Proc. Int. Conf. on World Wide Web Companion, pages 1343–1350, 2013. [ http ]
[2] Wikimedia Foundation. Wikimedia downloads. http://dumps.wikimedia.org/, January 2010.